Login
单品仪器和行业成套实验室检测仪器一站式配置厂家和代理联盟
收藏

白酒分析气相色谱仪

    请选择规格

  • 白酒采用固态糖化发酵和蒸馏而成,是世界上最古老的蒸馏酒之一,具有较高的历史价值与研究价值,享有“中国国酒”的美誉。中国白酒以高粱等粮
咨询电话:18620024088
手机购买

  白酒采用固态糖化发酵和蒸馏而成,是世界上最古老的蒸馏酒之一,具有较高的历史价值与研究价值,享有“中国国酒”的美誉。中国白酒以高粱等粮谷为主要原料,以大曲、小曲、麸曲及酒母等为糖化发酵剂,经过蒸煮、糖化、发酵、蒸馏而制成,得益于多种自然微生物的参与以及长时间的固态发酵等独特的酿造工艺,白酒的风味特点非常独特。白酒中2%微量成分是决定白酒整体风味和品质的关键。
 
白酒香味成分种类有酯类、酸类、醇类等。酯类是具有芳香的化合物,在各种香型白酒中起着重要作用,是形成酒体浓郁香气的主要因素,乙酸乙酯、乳酸乙酯、丁酸乙酯和己酸乙酯的总含量占白酒总酯含量的90%以上,被称为“四大酯”;酸类主要是乳酸、乙酸、丁酸和己酸等有机酸类;醇类除乙醇外,最主要的是异戊醇、异丁醇和正丙醇等。白酒发酵过程中,不仅产生风味成分,还会自然产生甲醇,采用蒸馏的方法不能完全消除,白酒中不可避免的含有少量甲醇,少量甲醇对于人体无明显作用,一旦甲醇含量超标就会产生严重后果。因此,甲醇含量是食品安全重要的卫生指标。
 
本研究通过优化色谱条件,以期实现对白酒中常规风味物质的分离与测定,并同时完成白酒中甲醇含量测定,为白酒分析中同时进行甲醇和风味物质检测提供参考。
 
1材料与方法
1.1材料、试剂及仪器
酒样:市售。
 
试剂及耗材:乙酸乙酯、甲醇、丁酸乙酯、正丙醇、异丁醇、正丁醇、异戊醇、己酸乙酯、正戊醇、乳酸乙酯、糠醛、乙酸、丙酸、丁酸、己酸、β-苯乙醇、棕榈酸乙酯、油酸乙酯、叔戊醇、乙酸正戊酯、2-乙基丁酸,纯度均大于99%,上海阿拉丁生化科技股份有限公司;亚油酸乙酯,纯度97%,上海麦克林生化科技股份有限公司。
 
仪器设备:气相色谱仪(配FID检测器)、CP-WAX57CB色谱柱(50 m×0.25 mm×0.20μm),;电子天平,
 
1.2试验方法
1.2.1溶液配制
体积分数60%的乙醇溶液配制:在室温条件(20℃)下,准确量取600 m L无水乙醇置于1000 mL容量瓶中,用超纯水定容至1000 m L,静置待用。
 
内标溶液配制:准确称取叔戊醇、乙酸正戊酯和2-乙基丁酸各2.0 g至同一200 mL容量瓶中,使用60%vol乙醇溶液定容,混匀备用。
 
16种标准物质储备液配制:准确称取1.0 g乙酸乙酯、0.6 g正丙醇及0.5 g甲醇、丁酸乙酯、异丁醇、正丁醇、异戊醇、己酸乙酯、正戊醇、乳酸乙酯、糠醛、乙酸、丙酸、丁酸、己酸、β-苯乙醇标准品于同一50 mL容量瓶中,用60%vol乙醇溶液定容至刻度,配制17种混合标准物质储备液1。
 
3种标准物质储备液配制:准确称取0.2 g棕榈酸乙酯、油酸乙酯、亚油酸乙酯于同一50 mL容量瓶中,用乙醇溶液定容,配制成混合标准物储备液2。
 
标准曲线溶液配制:分别移取0.25 mL、0.5 mL、1.0 mL、2.0 m L、4.0 m L储备液1于1—5号10 m L容量瓶中,再分别移取0.02 m L、0.05 m L、0.1 m L、0.2 mL、0.4 mL标准溶液储备液2于1—5号10 mL容量瓶中,再分别移取0.1 mL、0.2 mL、0.3 m L、0.4 m L、0.5 m L水中乙醛标准溶液于1—5号10 mL容量瓶中,分别加入0.1 m L内标溶液,用60%vol乙醇溶液定容,最后形成21种标准物质的5个浓度梯度溶液,乙酸乙酯浓度为500 mg/L、1000 mg/L、2000 mg/L、4000 mg/L、8000 mg/L,正丙醇浓度为300 mg/L、600 mg/L、1200 mg/L、2400 mg/L、4800 mg/L,乙缩醛、甲醇、丁酸乙酯、异丁醇、正丁醇、异戊醇、己酸乙酯、正戊醇、乳酸乙酯、糠醛、乙酸、丙酸、丁酸、己酸、β-苯乙醇浓度为250 mg/L、500 mg/L、1000 mg/L、2000 mg/L、4000 mg/L,棕榈酸乙酯、油酸乙酯、亚油酸乙酯浓度为8 mg/L、20 mg/L、40 mg/L、80 mg/L、160 mg/L。
 
1.2.2样品前处理
准确吸取10 m L样品于样品瓶中,再加入0.1 mL内标溶液,混匀静置3 min,供GC分析。
 
1.2.3气相色谱条件
色谱条件:进样口温度:250℃;程序升温:初始温度35℃,保持3 min,以3℃/min升温至80℃,以3.5℃/min升温至180℃,以15℃/min升温至200℃,保持15 min;载气:高纯氮(纯度>99.999%),流速:0.75 mL/min;进样方式:分流进样;分流比:120∶1;进样量:1μL;检测器温度:250℃。
 
1.2.4标准曲线绘制
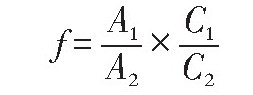
使用内标标准曲线法,根据19种物质标准品在色谱图上的保留时间对白酒中的风味物质进行定性分析,同时以标液浓度与样品峰面积的比值,根据标准曲线得到试样中各物质的浓度。风味物质含量计算参考文献的计算方法,校正因子(f值)计算按公式如下:
 
白酒分析气相色谱仪(图1)
式中:f——各物质的相对校正因子;
 
A1——内标物的峰面积;
 
A2——被测组分标样的峰面积;
 
C1——内标物的质量浓度,mg/L;
 
C2——被测组分标样的质量浓度,mg/L。
 
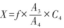
样品中各物质含量计算公式如下:
 
白酒分析气相色谱仪(图2)
式中:X——样品中各物质的质量浓度,mg/L;
 
A3——样品中被测组分的峰面积;
 
A4——添加于样品中的内标物的峰面积;
 
C4——添加于样品中的内标物的质量浓度,mg/L。
 
1.2.5分析方法验证
(1)标准曲线的绘制:将配制好的标准溶液按最佳色谱条件进样分析,以标准溶液各组分质量浓度与内标物质量浓度的比值(x)为横坐标,各组分峰面积与内标物质峰面积比值(y)为纵坐标,绘制标准曲线。
 
(2)加标回收率试验
 
根据白酒中各种化合物含量高低,分别准确称取高和低两种质量浓度的20种标准物质于10 mL容量瓶中,用白酒样品定容。
 
(3)精密度实验
 
称取同一份白酒样品进样6次,依照1.2.2前处理方法及1.2.3色谱条件对其风味物质进行测定,测定各化合物峰面积,计算结果相对标准偏差(relative standard deviation,RSD)。
 
2结果与分析
2.1定性分析
按照1.2.3的色谱条件对配制的19种单标溶液进行测定,确定各物质的出峰顺序和保留时间,再对19种标品和3种内标物质的混合溶液进行测定,19种标品和3种内标物质混合溶液的气相色谱图见图1。从图1可以看出,19种标准物质和3种内标物质可以很好地分离,峰形较好,检测灵敏度高,可以在62 min内完成检测。
 
2.2标准曲线绘制
将配制的白酒19种微量成分标准溶液用内标法在上述色谱条件下进样,分别测定其与内标溶液的峰面积比,以标准溶液中各物质与内标的质量比(x)为横坐标,标准溶液与内标溶液的峰面积比(y)为纵坐标绘制标准曲线。标准曲线回归方程、相关系数(R)、保留时间见表1。结果显示,建立的标准曲线的相关系数R均大于0.999,标准曲线线性良好。
 
图1 19种目标物及3种内标混合标准溶液的气相色谱图
白酒分析气相色谱仪(图3)
表1 19种物质的保留时间、标准曲线回归方程和相关系数
白酒分析气相色谱仪(图4)
2.3加标回收率与精密度
使用构建的标准曲线进行样品加标回收率和精密度检测,检测结果如表2所示。结果显示,回收率在81.10%~107.95%范围之间,精密度在0.15%~1.93%之间,符合检测要求。
 
3结论
本研究利用GC-FID法同时测定了白酒中18种风味物质和甲醇含量,使用Agilent 7890A气相色谱仪建立了一种稳定、灵敏的可有效分离检测白酒中物质,可进行食品安全指标甲醇的检测方法。方法使分离物的保留时间在6.64~60.87 min之间,白酒中微量成分在线性范围内具有良好的线性关系,相关系数R均大于0.999,样品平均加标回收率在81.10%~107.95%之间,精密度RSD在0.15%~1.93%。综上,本分析方法可为白酒中甲醇和风味物质的检测提供参考。
 
表2 白酒中19种物质的平均加标回收率和精密度
白酒分析气相色谱仪(图5)

地址:广东省广州市白云区机场路111号3F 天津市东丽区华明街道垠坤未来汇B20号 上海市嘉定区沪宜公路1101号越界产业园五号楼
18620024088
工作时间:09:00 - 17:00